| Availability: | |
|---|---|
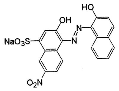
Product Name:Acid Black 172 140%
Molecular Structure: Single azo,Metal Complexes
Molecular Formula:C20H12N3NaO7S
Molecular Weight: 461.38
CAS Registry Number:61847-77-6/57696-14-8
Manufacturing Methods : 4-Amino-3-hydroxynaphthalene-1-sulfonic aciddiazo, and Naphthalen-2-ol coupling, and then translate into 1:2 chromium complex.
Properties and Applications: black. Dark brown powder, soluble in water. Used for wool, polyamide fiber, silk and their blended fabric dyeing and printing directly, also can used for leather dyeing.
Counter Product:Erionyl Black AMR,Isolan Black 2S-LD,Lanasyn Black S-DB
| Standard | Light Fastness | Soaping | Persperation Fastness | Oxygen bleaching | Fastness to seawater | |||
Fading | Stain | Fading | Stain | Fading | Stain | |||
ISO | 7 | 4-5 | 5 | 5 | ||||